手机版 | 登陆 | 注册 | 留言 | 设首页 | 加收藏
当前位置: 网站首页 > 医校动态 > 文章 当前位置: 医校动态 > 文章

河南2025新高考赋分政策:等级赋分怎么计算?

时间:2024-10-27    点击: 次    来源:网络    作者:好大夫专升本邱老师 - 小 + 大

随着教育改革的不断深入,河南省在2025年的新高考政策中引入了“3+1+2”模式,这一变革不仅影响了考生的备考策略,更对高校的选拔机制产生了深远的影响。在这一模式下,等级赋分成为了考生和家长关注的焦点。那么,等级赋分究竟如何计算?它的背后又隐藏着哪些教育公平的考量?

一、河南2025新高考“3+1+2”模式解析
在河南2025新高考“3+1+2”模式中,“3”代表语文、数学、外语三门全国统一高考科目,每门满分150分。外语科目的特别之处在于,2025年和2026年的听力成绩暂不计入总分,外语成绩以笔试成绩的1.25倍计入;而从2027年起,听力成绩将正式计入总分。
“1”指的是首选科目,考生需要在物理和历史两门科目中选择一门作为首选考试科目,满分100分,使用原始成绩计入总成绩。
“2”则代表再选科目,考生需要在化学、生物学、思想政治、地理四门科目中选择两门作为再选考试科目,每门满分100分,但成绩将以等级转换分计入总成绩。

二、等级赋分规则详解
等级赋分是河南新高考改革中的一项创新举措,其目的是为了解决不同科目之间难度差异和考生群体不同导致的原始分不可比问题。等级赋分的转换方法采用的是区间换分法,即通过比照等级赋分表,将考生的原始分数转换为等级分数。
首先,将各选考科目的考生按照原始分从高到低进行排序,然后根据考生原始分的统计分布,按一定的人数比例将该选考科目考生群体划分为A、B、C、D、E五个等级。各等级人数所占比例分别约为15%、35%、35%、13%和2%。
在划分等级后,进行等级赋分。等级分数的满分值为100分,起点分值为30分。从A至E每个等级按照1分1档的分数间隔进行连续赋分,各个等级的等级赋分区间从15分到11分不等。具体来说,A等级对应100~86分,B等级对应85~71分,C等级对应70~56分,D等级对应55~41分,E等级对应40~30分。
下面是具体的等级赋分表:


三、等级赋分的计算方法
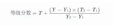
等级赋分的计算采用等比例转换方法,具体公式如下:

其中:
Y1、Y2 分别表示某等级所对应原始分数区间的下限和上限。Y 表示某考生的原始分数。T1、T2 分别表示等级赋分区间的下限和上限。T 表示考生的等级分数。
根据这个公式,结合每个考生的原始分数及其所在等级的等级赋分区间,可以计算出每个考生的等级分数。

四、等级赋分的意义与影响
等级赋分政策的实施,旨在实现教育公平,确保不同科目、不同考生之间的成绩具有可比性。通过等级赋分,可以减少因科目难度差异带来的不公平现象,同时也为高校选拔人才提供了更加科学、合理的依据。
然而,等级赋分也带来了一定的挑战。考生和家长需要更加关注自己的排名而非单纯的分数,这要求他们在备考过程中更加注重全面提升自己的能力,而非仅仅追求高分。
五、应对等级赋分的策略
面对等级赋分政策,考生和家长应该如何应对?首先,要深入了解等级赋分的规则和计算方法,明确自己的目标和定位。其次,要合理规划学习计划,注重学科间的平衡发展,避免偏科现象。最后,要关注历年的等级赋分数据,分析趋势,为自己的备考提供参考。
河南2025新高考的等级赋分政策,不仅是一次教育改革的尝试,更是对考生综合素质的一次全面考验。理解并掌握等级赋分的计算方法,对于考生来说至关重要。希望本文能够帮助广大考生和家长更好地理解和应对这一新的挑战,为自己的未来打下坚实的基础。

上一篇:河南省3+1+2新高考政策解读:赋分政策+选科攻略

下一篇:没有了

豫ICP备16029582号-1  |   QQ:289610169  |  地址:河南郑州市二七区东方路3号好大夫教育培训第二基地  |  电话:15517172425  |